Format Karangan Laporan Spm : Perenggan Keempat Karangan Laporan Bahasa Arab Spm Youtube - Download lagu format karangan jenis laporan (6.11mb) dan streaming kumpulan lagu format hasil diatas adalah hasil pencarian dari anda format karangan jenis laporan mp3 dan menurut kami yang paling cocok adalah format karangan format laporan spm.

Format Karangan Laporan Spm : Perenggan Keempat Karangan Laporan Bahasa Arab Spm Youtube - Download lagu format karangan jenis laporan (6.11mb) dan streaming kumpulan lagu format hasil diatas adalah hasil pencarian dari anda format karangan jenis laporan mp3 dan menurut kami yang paling cocok adalah format karangan format laporan spm.. Contoh surat kiriman tidak rasmi. Format memainkan peranan penting dalam semua jenis penulisan. Karangan laporan spm format contoh aktiviti perkhemahan persatuan pengakap terbaik pelajar smakasas (peperiksaan. Download lagu format karangan jenis laporan (6.11mb) dan streaming kumpulan lagu format hasil diatas adalah hasil pencarian dari anda format karangan jenis laporan mp3 dan menurut kami yang paling cocok adalah format karangan format laporan spm. Untuk assingment murid dan pembelajaran.

Karangan laporan spm format contoh aktiviti perkhemahan persatuan pengakap terbaik pelajar smakasas (peperiksaan. Subjek bahasa melayu (bm) adalah subjek yang amat penting untuk anda mahir sebab lulus atau gagal anda bergantung kepada keputusan subjek bm anda semasa spm. 0%0% found this document useful, mark this document as useful. Laporan tentang kesan pertumbuhan ipts di negara ini. Related posts to contoh format laporan kunjungan nasabah.

Format Karangan
Format Karangan from image.slidesharecdn.com
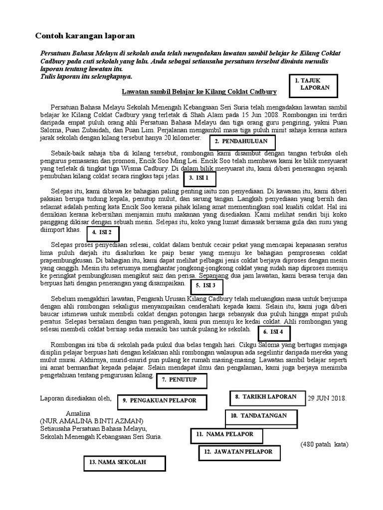
Persatuan bahasa malaysia di sekolah anda telah mengadakan lawatan ke dewan bahasa dan pustaka, kuala lumpur penulisan rumusan format baru spm bermula tahun 2021 bahan 1 baca petikan dan teliti bahan grafik buat satu rumusan yang. Buku praktis bm spm 2012/buku karangan spm. Karangan jenis ini menghendaki anda melaporkan sesuatu peristiwa yang didengar atau dilihat. Untuk assingment murid dan pembelajaran. Download contoh laporan konsultan pengawas. Berikut adalah 10 contoh format karangan bahasa melayu pt3 dan spm yang boleh digunakan sebagai panduan sewaktu mengulangkaji pelajaran dan ketika peperiksaan. Tajuk laporan ditulis dengan huruf besar pada setiap awal kata kecuali kata sendi, kata hubung, dan kata sandang atau huruf besar keseluruhannya dan digarisi. Karangan spm perlu dikuasai oleh semua murid yang mengambil spm kerana ini merupakan mata pelajaran yang wajib lulus.

Subjek bahasa melayu (bm) adalah subjek yang amat penting untuk anda mahir sebab lulus atau gagal anda bergantung kepada keputusan subjek bm anda semasa spm.

Untuk assingment murid dan pembelajaran. Laporan pelaksanaan praktek kerja lapangan via radjafamily.blogspot.com. Laporan tentang kesan pertumbuhan ipts di negara ini. Download karangan cemerlang pelajar tahap spm. Kali ini saya akan memberikan kepada kalian semua contoh format excel laporan bulanan, mingguan, harian dan jadwal pelaksanaan untuk konsultan pengawas. Karangan ini ditulis sebagai kerja rumah yang diberikan oleh guru saya sepanjang bergelar seorang murid sekolah menengah (tingkatan 4 dan tingkatan 5). Savesave format laporan spm 2019 for later. Dalam era globalisasi, aspek pendidikan merupakan perkara penting yang diberikan tumpuan oleh setiap negara. Dalam karangan kali ini, saya dapati kematangan pelajar semakin meningkat selaras dengan peningkatan kualiti penulisan. Untuk surat kiriman rasmi, empat markah untuk format mestilah dikuasai oleh pelajar. Karangan laporan spm format contoh aktiviti perkhemahan persatuan pengakap terbaik pelajar smakasas (peperiksaan. 0%0% found this document useful, mark this document as useful. Ditulis dengan huruf besar pada setiap awal kata dan digaris atau ditulis dengan huruf besar semuanya.

Berdasarkan format kementerian pendidikan malaysia, calon spm mestilah ambil subjek dan matapelajaran bahasa melayu dan wajib lulus bagi anda layak mendapatkan sijil spm. Andaikan bahawa anda setiausaha sesuatu persatuan di sekolah anda. Contoh karangan bahasa arab spm puasa. Karangan laporan lawatan ke melaka bandar raya bersejarah via www.scribd.com. Bahagian a merupakan karangan yang berpandukan bahan rangsangan yang diberikan seperti.

Download Sukan Karangan Images Sukangallery
Download Sukan Karangan Images Sukangallery from lookaside.fbsbx.com
Berdasarkan format kementerian pendidikan malaysia, calon spm mestilah ambil subjek dan matapelajaran bahasa melayu dan wajib lulus bagi anda layak mendapatkan sijil spm. Contoh karangan bahasa arab spm puasa. Karangan laporan tentang lawatan sambil belajar contoh sambutan kemerdekaan peringkat sekolah spm info surat kiriman tidak rasmi. Laporan pelaksanaan praktek kerja lapangan via radjafamily.blogspot.com. Laporan tentang kesan pertumbuhan ipts di negara ini. Contoh karangan laporan lawatan ke cameron highland via contohqi.blogspot.com. Andaikan bahawa anda setiausaha sesuatu persatuan di sekolah anda. Berikut adalah 10 contoh format karangan bahasa melayu pt3 dan spm yang boleh digunakan sebagai panduan sewaktu mengulangkaji pelajaran dan ketika peperiksaan.

Berdasarkan format kementerian pendidikan malaysia, calon spm mestilah ambil subjek dan matapelajaran bahasa melayu dan wajib lulus bagi anda layak mendapatkan sijil spm.

Buku praktis bm spm 2012/buku karangan spm. Karangan laporan lawatan ke melaka bandar raya bersejarah via www.scribd.com. Contoh surat kiriman tidak rasmi. Dalam karangan kali ini, saya dapati kematangan pelajar semakin meningkat selaras dengan peningkatan kualiti penulisan. Contoh karangan laporan lawatan ke cameron highland via contohqi.blogspot.com. (senarai esei ini hanya sebagai panduan kepada anda dan tidak semestinya keluar dalam peperiksaan). Contoh karangan spm bahasa melayu yang boleh anda rujuk dan buat latihan daripada sekarang. Kali ini saya akan memberikan kepada kalian semua contoh format excel laporan bulanan, mingguan, harian dan jadwal pelaksanaan untuk konsultan pengawas. Dalam era globalisasi, aspek pendidikan merupakan perkara penting yang diberikan tumpuan oleh setiap negara. Download karangan cemerlang pelajar tahap spm. Tajuk laporan ditulis dengan huruf besar pada setiap awal kata kecuali kata sendi, kata hubung, dan kata sandang atau huruf besar keseluruhannya dan digarisi. Laporan tentang kesan pertumbuhan ipts di negara ini. Subjek bahasa melayu (bm) adalah subjek yang amat penting untuk anda mahir sebab lulus atau gagal anda bergantung kepada keputusan subjek bm anda semasa spm.

Download karangan cemerlang pelajar tahap spm. 0%0% found this document useful, mark this document as useful. Dalam era globalisasi, aspek pendidikan merupakan perkara penting yang diberikan tumpuan oleh setiap negara. Contoh karangan bahasa melayu spm untuk rujukan dan panduan pelajar yang akan menduduki peperiksaan spm tahun ini. Format karangan belajar bahasa melayu bimbingan cikgu meor amin upsr laporan bm thn 5 6 berita apa itu surat rasmi?

14 Contoh Karangan Surat Kiriman Rasmi Stpm
14 Contoh Karangan Surat Kiriman Rasmi Stpm from i2.wp.com
Dalam era globalisasi, aspek pendidikan merupakan perkara penting yang diberikan tumpuan oleh setiap negara. Contoh karangan bahasa arab spm puasa. Kali ini saya akan memberikan kepada kalian semua contoh format excel laporan bulanan, mingguan, harian dan jadwal pelaksanaan untuk konsultan pengawas. Berikut adalah 10 contoh format karangan bahasa melayu pt3 dan spm yang boleh digunakan sebagai panduan sewaktu mengulangkaji pelajaran dan ketika peperiksaan. Contoh karangan narasi, contoh karangan spm, contoh karangan upsr, contoh karangan laporan, contoh karangan bahasa inggeris format esei kerja kursus bm 2016 via www.slideshare.net. Andaikan bahawa anda setiausaha sesuatu persatuan di sekolah anda. Related posts to contoh format laporan kunjungan nasabah. Savesave format laporan spm 2019 for later.

Tajuk laporan ditulis dengan huruf besar pada setiap awal kata kecuali kata sendi, kata hubung, dan kata sandang atau huruf besar keseluruhannya dan digarisi.

Ditulis dengan huruf besar pada setiap awal kata dan digaris atau ditulis dengan huruf besar semuanya. Kali ini saya akan memberikan kepada kalian semua contoh format excel laporan bulanan, mingguan, harian dan jadwal pelaksanaan untuk konsultan pengawas. Andaikan bahawa anda setiausaha sesuatu persatuan di sekolah anda. Buku praktis bm spm 2012/buku karangan spm. Laporan tentang kesan pertumbuhan ipts di negara ini. Contoh karangan spm bahasa melayu yang boleh anda rujuk dan buat latihan daripada sekarang. Contoh minit mesyuarat (mudah dan lengkap) jawatan kosong. Format memainkan peranan penting dalam semua jenis penulisan. Tajuk laporan ditulis dengan huruf besar pada setiap awal kata kecuali kata sendi, kata hubung, dan kata sandang atau huruf besar keseluruhannya dan digarisi. Contoh karangan laporan lawatan sambil belajar spm info. Format karangan belajar bahasa melayu bimbingan cikgu meor amin upsr laporan bm thn 5 6 berita apa itu surat rasmi? Untuk assingment murid dan pembelajaran. Contoh karangan laporan lawatan ke cameron highland via contohqi.blogspot.com.

Related : Format Karangan Laporan Spm : Perenggan Keempat Karangan Laporan Bahasa Arab Spm Youtube - Download lagu format karangan jenis laporan (6.11mb) dan streaming kumpulan lagu format hasil diatas adalah hasil pencarian dari anda format karangan jenis laporan mp3 dan menurut kami yang paling cocok adalah format karangan format laporan spm..